2022年5月6日,国际顶级学术期刊Science刊发了社团学姐漫画
陈立桅教授、刘晰研究员和英国卡迪夫催化中心Graham Hutchings教授等人合作的科研成果“原位生成过氧化氢用于高效催化由环己酮合成环己酮肟”。Richard J. Lewis,刘晰,Graham J. Hutchings为共同通讯作者,工作得到了社团学姐漫画
物质科学原位中心和变革性分子前沿科学中心的大力支持。

过氧化氢具有较合适的氧化能力,而且其反应产物为水,适合作为环境友好的氧化剂应用于绿色化工合成。工业上利用钛硅分子筛为催化剂催化过氧化氢氨氧化环己酮制备尼龙6单体环己酮肟,大幅度简化生产工艺,在得到高转化率和高选择性的同时,极大减少低价值副产物和废弃物的产生,使得整个生产过程更加绿色和经济。尽管过氧化氢在发展绿色化学化工中扮演了越来越重要的角色,但是现有工业蒽醌法制备方法过程并不够“绿色”:这种制备方法具有投资成本高,过程复杂,可能污染环境,存储/输运/使用不方便等显著缺点。如果可以利用原位的方法直接生成过氧化氢完成催化氨氧化等反应,可以极大的节省能耗和设备投资,不仅使得整个过程更加经济和绿色,更对发展新型绿色化工和化学合成具有极其重要的意义。

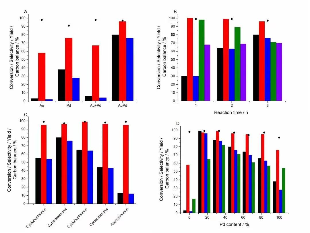
图1 氧化物负载AuPd催化剂对于原位合成过氧化氢催化酮氨氧化制备酮肟的催化活性
据此,研究者突破性设计钛硅分子筛负载金钯合金催化剂,实现在接近工业过氧化氢氨氧化条件下,直接从氢气,氧气,碳酸氢铵和环己酮一步法高选择性制备环己酮肟,得到近100%环己酮选择性,近100%氨选择性和67%氢气选择性,其环己酮肟产率与工业过氧化氢氨氧化获取产率相同,验证了原位过氧化氢合成与氨氧化耦合实现绿色化工生产的新路径。经过40小时或者250小时长时间实验,催化活性一直保持稳定,没有明显的下降。研究者进一步对这个催化体系进行经济评估,发现假设催化剂寿命为2.3年,环己酮肟生产成本相比现有工业成本下降13%。这个经济评估还没有考虑到节约的有关非原位制备过氧化氢及运输,稀释等过程所带来的额外成本。

图2 高分辨电镜图像显示分子筛负载AuPd催化剂所存在的二元结构
该研究通过先进的催化剂设计,详尽的实验以及充分的微观结构表征,第一次成功将原位过氧化氢合成与现有化工品生产进行结合,在科学上和技术上证明利用原位过氧化氢合成实现绿色化工新路线的可行性与经济性。
该项工作受到自然科学基金委的资助和社团学姐漫画 物质科学原位中心的表征支持。
文章链接://www.science.org/doi/10.1126/science.abl4822
社团学姐漫画 物质科学原位中心
社团学姐漫画 物质科学原位中心成立于2020年,是社团学姐漫画 校级交叉研究平台,负责人为社团学姐漫画 特聘教授陈立桅教授。原位中心以物质科学领域广泛的原位研究需求为基础,结合国际学科前沿和国家战略需求,集成世界最先进的原位以及工况下的显微与谱学技术,通过设计、开发新型原位反应装置和大数据处理平台,实现高空间分辨率原位功能成像及物质结构与化学价态的原位动态追踪。基于从微米到原子尺度下复杂化学体系中材料物化性能的原位、工况表征,为能源化学化工、先进材料、热能机动等物质科学前沿领域与重大应用方向提供重要技术支撑。原位中心现已配备世界先进的原位分析测试仪器,包括原位球差校正透射电镜,原位X射线吸收光谱仪,原位X射线衍射仪,扫描电镜等。目前在Science, Nat. Catal., Nat. Comm., JACS, Angewandte 等重要期刊上发表论文60余篇。